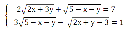
Giải hệ phương trình :
[CENTER]

[/CENTER]
Ai không biết gõ latex thì có thể làm mọi cách để mọi người hiểu ý mình,(ví dụ như viết ra giấy xong chụp hình post lên,ký hiệu theo ý thích rồi giải thích cho mọi người hiểu ký hiệu ấy như thế nào ...chẳng hạn không viết được căn thì viết dấu % rồi chú thích xuống dười,hoặc nếu bài ấy bạn đọc được trong tài liêu pdf hay word hay đọc được trên trang nào thì bạn chụp hình lại xong post lên...yêu cầu rõ ràng ,dễ hiểu Hy vọng mọi người nhiệt tình tham gia để diễn đàn ta là diễn đàn học tốt,chém không nơi nào bằng.Xin chân thành cảm ơn.À,nếu tác giả mà cũng bó tay thì để Oanh,Oanh k làm được thì hỏi bạn Oanh...Oanh k giỏi nhưng Oanh lắm bạn là siêu nhân lắm....hihi...thế nhé

